色差仪RGB颜色空间和XYZ颜色空间是色差仪常用的两个测色空间,前者用R、G、B值对颜色进行表示,后者用X、Y、Z值对颜色进行表示。由于它们之间表示颜色的方法不同,就需要进行色度值之间的转换,以获得相应的颜色信息,即用不同色彩空间中的数据来表示相同的颜色。那么,色差仪R、G、B值怎么转换X、Y、Z值?本文对此作了介绍,感兴趣的朋友可以了解一下!

由三基色原理知,大多数颜色可以由红、绿、蓝三基色按照不同的比例合成。RGB颜色空间是在三基色理论上开发的相加混色颜色空间,在RGB颜色空间中,任意色光都能由R、G、B三色按比例相加合成,其颜色模型如下图所示。

图中三个坐标轴分别表示为R、G、B三个颜色通道分量,国际照明委员会(CIE)将RGB每个分量都分为256级,因此每个通道分量的取值范围为0-255,共能表示256*256*256(约1600万)种颜色。在颜色空间的原点处,三基色都为0,即原点对应的是黑色(0,0,0),距离原点最远的顶点,即立方体原点的斜对角的顶点处的三原色分量为达到最高值,为白色(255,255,255)。除黑白两点所在的顶点外,立方体剩下的六个顶点,有三个顶点分别为三基色,如图中标注的红、绿、蓝,剩下的三个顶点表示的颜色是三原色中两两混合之后的颜色,为品红、青和黄。在该立方体内部,任意颜色F可以表示为坐标中的一点,调整三原色中任一系数都会改变F的坐标值,同时,改变任一颜色,三原色的三色值也会发生变化。
RGB颜色空间采用物理三原色对颜色进行表示,这种方式比较简单,但给定任意一个R、G、B值,无法准确知道所表述的颜色,并不符合人的视觉特点。而且RGB颜色空间不是一个均匀的颜色空间,即空间坐标上等距离的两点并不能表示出颜色的差异性,因此,RGB颜色空间并不适合用作色差检测。
由于CIE-RGB系统计算颜色三刺激值会出现负值的问题,即使用R、G、B三原色无法调制出所有的颜色,因此CIE在RGB三原色理论基础上提出了新的三刺激值X、Y、Z,使用假象的三原色XYZ建立新的色度系统。在XYZ测色系统中,X原色相当于波长比700nm的光谱红还要大的红紫,Y原色相当于波长比520nm的光谱绿还要大的一种绿,Z原色相当于饱和度比477nm的光谱蓝还要大的一种蓝,XYZ颜色空间是在RGB颜色空间上提出的,可以由RGB颜色空间转换得到。其颜色模型如下图所示:

X、Y、Z是自然界并不存在的三种原色,但使用这三种原色可以从理论上调配出所有的颜色。以三刺激值XYZ为分量的颜色空间称之为XYZ颜色空间,其他颜色都可以从这三种颜色中导出,通过相加混色或者相减混色,任何色调都可以使用不同量的基色产生。该颜色空间在广泛的实验基础上得到的平均人眼颜色响应,符合人眼对颜色观测的视觉特点,是国际委员会定义的与设备无关的颜色表示法,因此通常作为国际性的颜色空间标准。对于无法直接转换的两个颜色空间,XYZ颜色空间通常可以作为桥梁,使两种颜色空间能进行转换。
色彩空间转换意味着将一个色彩空间中的颜色特征信息转换到另一色彩空间以,获得相应的颜色信息,即用不同色彩空间中的数据来表示相同的颜色。
由于RGB颜色空间并不能产生出所有的彩色,在某些情况下颜色值还会出现负值,为了克服这一缺点,1931年国际照明委员会CIE规定了一种新的颜色系统称为XYZ颜色空间。它把彩色光表示为:C=X(X)+Y(Y)+Z(Z)。式中,(X)、(Y)和(Z)是XYZ颜色空间的基色量,X、Y和Z为三色比例系数。
XYZ颜色空间必须满足如下三个条件:
(1)三色比例系数X、Y和Z皆大于零;
(2)Y的数值正好是彩色光的亮度;
(3)当X=Y=Z时仍然表示标准白光。
根据以上条件,可以得到RGB颜色空间与XYZ颜色空间的关系式:

从XYZ转化为RGB颜色空间转化公式如下所示:

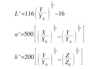
CIELab色度空间是国际照明委员会向世界各国推荐的通用的均匀颜色空间,是经CIEXYZ色度空间非线性变换而得到的。CIELab在三维色空间的各个坐标轴上均具有视觉和颜色心理感知的等距性,并且细分了明度坐标和色品坐标的级差。同时,CIELab空间中当颜色的色差大于视觉的识别阈值(恰可察觉)而又小于孟塞尔系统中相邻两级色差时,可以较好地反映物体色的心理感受效果。CIELab与CIEXYZ的非线性转换关系如下式所示。

式中:X、Y、Z 为颜色样品的三刺激值;X0、X0、Z0为CIE标准照明体的三刺激值(D65光源:X0=95.05、Y0=100.00、Z0=108.91)。
L*称为心理计量明度,简称心理明度或明度指数:a*、b*称为心理计量色度,简称心理色度或色度参数。
CIEL*a*b*色度空间是一种基于赫林四色对立学说原理的心理色度空间,心理色度a*和b*中包含有(X-Y)和(Y-Z)项。颜色的明度感觉用纵坐标L*轴表示,黑色位于最下端,对应明度L*=0,白色最亮位于最上端,对应明度L*=100。a*轴与b*轴共同表示彩色的特性,a*轴正方向代表红色(偏品红)的变化,a*轴负方向代表绿色的变化:b*轴正方向代表黄色变化,b*轴负方向代表蓝色变化。任何颜色都可以由这四个原色中的一个或两个按一定的明度值混合而成,原色的混合比例决定了混合色的色调。
电话:13376066805
邮件:sales0019@3nh.com