纺织色差仪是纺织行业常用的颜色测量仪器,这类仪器一般会配置多种类型的色差公式,△E*ab和△E*CMC色差公式,是其中比较常见的两种色差公式。本文对纺织色差公式△E*ab和△E*CMC的区别做了解析。

△E*ab色差是指CIELAB均匀颜色空间模型下两个颜色点的距离,该空间模型为直角坐标系。在CIELAB颜色空间中,两个颜色样本(L1,a1,b1)和(L2,a2,b2)之间的色差可以用欧式距离来计算:

其中ΔL*、Δa*、△b*分别是CIELab颜色空间的三个坐标差值。如果CIELab空间是视觉均匀的,其对应的视觉宽容度在该颜色空间中应当是一个圆球形,并且在颜色空间的各个区域都应具有相同的半径。但是由于CIELab颜色空间并不是均匀的,因此应该用椭球来表示各颜色区域所对应的视觉宽容度更为合适。虽然对于中小色差的预测性能,CIELab色差公式不甚理想,但相对于其后的一些色差公式而言,其公式比较简单易算,并且对大色差尚有较好的预测性能,因此在现今工业生产中仍被广泛采用。
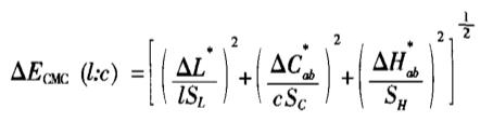
△E*CMC色差公式是在CIELAB公式的基础上修改推导出来的,CMC色差公式根据视觉关系调整了每个色调方向的色差椭圆大小和形状;改善了彩度差变化与明度之间的关系,使不同彩度的颜色具有不同的色差容限。非彩色区域附近的椭圆较小,彩度高的椭圆较大,色差容限与彩度的变化成正比。并引入了明度权重因子l和彩度权重因子c,以适应不同应用的需求。CMC(l:c)的色差表达式为:

式中:△L*、△C*ab、△H*ab由CIE1976LAB色差公式计算得到,SL、SC、SH分别为明度、彩度和色调加权函数,用于调整不同明度、不同彩度和不同色调对色差的贡献大小。l和c为参数因子,用于调整不同的观察条件对色差的影响大小。在纺织中,l和c通常设为2和1,这也就是CMC(2:1)公式。
△*CMC色差公式改进了CIELAB颜色空间的目视均匀性。通过修正△*Eab色差公式,△*CMC色差公式使各色调方向的色差椭圆大小可根据视觉的关系进行改变,比如在红色区域的椭圆比较瘦长,在绿色区域则比较圆;同时它改善了饱和度差随明度的变化关系,将饱和度不同的颜色赋以不同的色差容限,色差容限随饱和度的增加而变大,反之则减小。在该公式中,人眼对颜色三个属性敏感程度的差别分别用SH、SL、SC来加权修正。由SH、SL、SC为半轴定义的椭球是颜色的容差范围,上图中0代表标样的坐标,即椭球的球心。在颜色空间的不同区域,依据具体的颜色值计算色差公式中的加权系数,进而计算色差,它可以实现与目视评定色差最接近的结果。
△*CMC色差公式改进了CIELAB颜色空间的目视均匀性,用单一容差数值就可以裁定色匹配的可接受性,且该容差与标样的颜色无关。用椭球三半轴(CIELAB明度容差ΔL*、彩度容差△C*ab和色调容差ΔH*ab)加权(lXSC、CXSC和SH)导出的色差ΔEcmc(l:c)还可以区分不同情况用以解释其三个独立分量:明度分量ΔL*cmc=ΔL*/lxSL,彩度分量ΔC*cmc=△C*ab/CXSC和色调分量Δ*cmc=ΔH*ab/SH。
电话:13376066805
邮件:sales0019@3nh.com