色差仪分光测色仪不仅可以对颜色进行量化,还可以对颜色之间的差异值进行比较,并通过仪器内置的色差公式给出颜色比对后的总色差值。本文对色差仪分光测色仪最常用的五个色差公式做了简要的介绍,对色差计算式感兴趣的朋友不妨了解一下!

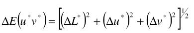
ΔE*ab色差公式是CIELAB色差公式的简称,CIELAB色差公式是基于近似均匀的三维颜色空间建立的,由直角坐标L*、a*、b*构成,国际照明委员会推荐使用。该色差公式建立在CIELAB颜色空间之上,若两个颜色都是按照L*a*b*标定的,则两者的总色差计算公式如下计算:

式中,ΔE*ab是两个颜色的色差;△L*,△a*,△b*是两个颜色相应量的差。ΔE*ab值越小代表色差越小,反之越大。
ΔE*uv色差公式是以CIELUV颜色空间为基础建立的色差公式,在L*u*v*色度体系中,若两个色样样品都按L*、u*、v*来标定颜色,则两者之间的总色差△E*uv如下:

式中,ΔE*uv是两个颜色的色差;△L*,△u*,△v*是两个颜色相应量的差。
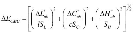
CMC(l:c)色差公式在修正CIELAB色差公式的基础上,根据视觉关系调整了每个色调方向的色差椭圆大小和形状;改善了彩度差变化与明度之间的关系,使不同彩度的颜色具有不同的色差容限。非彩色区域附近的椭圆较小,彩度高的椭圆较大,色差容限与彩度的变化成正比。它引入了明度权重因子l彩度权重因子c,能够解决暗色和中性色区域的色差结果计算与人眼测量结果相差较大的问题,适应不同的色差需求。其表达式为:

式中:△L*、△C*ab、△H*ab由CIE1976LAB色差公式计算得到,SL、SC、SH分别为明度、彩度和色调加权函数,用于调整不同明度、不同彩度和不同色调对色差的贡献大小。l和c为参数因子,用于调整不同的观察条件对色差的影响大小。l、c值的选用:对色差的“可觉察性”目视鉴定资料,可取l=c=1。而对色差的“可接受性”目视鉴定资料,则可取l=2、c=1。
CIE94色差公式是CIE于1955年推荐的一个色差公式,其全称为“CIE1994(△L*△C*ab△H*ab)色差模型”,正式缩写形式是CIE94,色差符号为△E*94。△E*94色差公式是CMC(1:c)色差公式的一种改良形式,其结构与ΔE*CMC(l:c)色差公式相似的公式,该公式的计算式如下所示:

式中ΔL*,△C*ab,△H*ab分别表示两种颜色间的明度差、彩度差和色相差。参数因子KL,KC,KH可根据不同的评价对象和评价条件选择不同数值,参考条件下的参数因子数值均为1。当观察条件改变时,可以对各参数进行单独改变以适应视觉上每个颜色分量(明度、彩度、色相)的变化。
ΔE*00色差式是CIEDE2000色差公式的简称,是CIE最新推荐的基于CIELAB的色差公式。CIE2000色差公式并不是创建了一个新的人眼辨别临界区均匀的色空间,而是重新定义了色差计算方法,使得在整个CIELab(L*a*b*色度空间)中,色差计算值与人眼评估更为接近。新的色差公式在原色差计算公式基础上,另外特别引用了三个新的重量系数SL,SC和SH,分别代表了在亮度△L*、饱和度△C*和色调△H*方向上的差异程度。其计算是如下:

式中:KL、KC、KH是三个常量参数,根据测试对象的不同或者色彩品质控制的要求来定义,在纺织行业中,KL一般取2,KC和KH一般取1;SL、SC、SH分别表示明度、彩度和色相的权重系数,用来校正颜色空间的均匀性;RT表示旋转函数,用来校正颜色空间中蓝色区域容差椭圆主轴方向的偏转。
电话:13376066805
邮件:sales0019@3nh.com