对于颜色测量仪器,JJG595-2002《测色色差计检定规程》中对颜色测量仪器的性能等级检定做了规定。其中衡量色差测量精度的指标主要包括稳定性、重复性、复现性和示值误差。本文对色差仪精度指标及检定方法做了介绍。

1.稳定性
稳定性指的是测量仪器保持其计量特性并不因测量时间而改变能力,对于仪器稳定性的检测流程,规定为在系统开机预热后,在15分钟内对参考白板进行8次测量,并对测量结果中颜色三刺激值Y值进行稳定性评价,稳定性的计算方法如下式所示:

式中,Y测量的平均值,Yi第i次测量的值。
2.重复性
重复性是指同一测试样品在固定的实验条件下,由同一测量仪器按照相同的测量方法在一定的时间内连续重复测量得到的结果之间一致性的接近程度。重复性是衡量测量系统精密度的指标之一,而影响精密度的主要因素是随机误差,对于织物在线色差测量系统而言,主要有光源功率变化、颜色传感器内部电路随机噪声、系统组合装配的不稳定性等影响因素,因此重复性指标对测色系统性能评价至关重要。其检定过程为在仪器开机15分钟工作稳定后,连续测量参考白板8次,且在此过程中标准参考白板和仪器的相对位置保持固定不变,最后对测量结果的颜色三刺激值,色品坐标和色差等参数进行重复性评价。
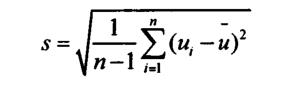
对于重复性指标s的计算方法主要如下式所示:

式中,ui为代表了重复性指标各项数据的第i次测量值,u为各项数据的测量平均值,n为测量的次数。
3.复现性
复现性指的是同一样品在改变测量条件或者测量环境后,连续测量得到的结果之间一致性的程度。复现性是描述测量系统精密度的另一项指标,相较于重复性精度,对复现性指标的测量多了测色样品本身不稳定性的影响,因此一般情况下,复现性指标低于重复性指标。其检定过程为:在仪器开机校准预热15分钟之后,连续对参考白板测量8次,每次测量后都以标准参考白板中心处为轴旋转45°左右,复现性指标计算方法如下式所示:

式中,ui第i次测量数据值,u为8次测量的平均值。
4.示值误差
示值误差指的是测量值与标准值的差值,也可称为准确度,在测色仪器中可理解为测试结果与标准仪器测量结果相符合的程度。影响系统准确度的因素主要是系统误差,系统误差的大小与方向在测量过程中保持不变,或者按一定规律变化,在织物色差在线测量系统中,系统误差来源于测量几何条件、测量距离、测量环境、杂散光以及颜色传感器本身测量精度等因素的影响,任何一个因素的改变,都会影响颜色测量的结果。示值误差检定指标要求如下表所示。

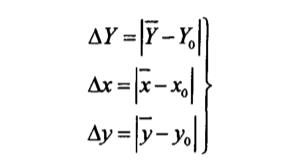
在色差计检定规程中,规定示值误差的检定过程为使用测色仪器分别对白、红、绿、蓝、黄5种颜色的色卡进行测量,取其三刺激值的Y值以及色品坐标进行示值误差的计算,每种颜色的色卡需要在标准测量条件下重复测量三次并取其平均值,示值误差计算方法如下式所示:

式中,Y、x、y为颜色数据的测量平均值,Y0、x0、y0为颜色数据的标准参考值。
1.仪器稳定性检查
仪器预热后,在15min内对三刺激值Y至少进行8次测量,并应符合下表要求。

稳定性Δf的计算方法如下:

2.仪器重复性检查
仪器预热之后,对仪器定标,连续测量专用工作白板8次。在测量中,白板保持不动。测量结果也应符合上表的要求。重复性s的计算方法如下:

3.仪器复现性检查
复现性是表现仪器与白板对量值的综合复现能力的指标。接上一步骤,重新定标仪器后,连续测量专用工白板8次,测量中,每次都要以白板中心为轴转动约45。测量结果的复现性应符合上表的要求。复现性△l的计算方法如下:

4.仪器示值误差检查
仪器预热之后,对白、红、绿、蓝、黄5种标准色板的Y,x,y进行测量,每块色板重复测量3次,取平均值与色板的各自标准值之差定义为示值误差。其结果应符合上表要求。示值误差的计算方法如下:

电话:13376066805
邮件:sales0019@3nh.com