CIELab颜色空间是色差仪中常用的一个颜色空间,在该颜色空间中,样品之间的颜色差异可以通过特定的色差公式进行计算。本文对CIELab颜色空间及色差公式做了介绍。

CIELAB色空间是利用L*、a*、b*三个不同的坐标轴,指示颜色在几何坐标图中的位置及代号。它是基于一种颜色不能同时既是绿又是红、既是蓝又是黄这种理论而建立起来的。一种颜色用CIEL*、a*、b*表示时,L*轴表示明度,黑在底端,白在顶端;+a*表示红色,-a*表示绿色;+b*表示黄色,-b*表示蓝色,如下图所示。任何颜色的色彩变化可以用a*、b*数值来表示,任何颜色的层次变化可以用L*数值来表示,用L*,a*,b*三个数值就可以描述自然界中的任何色彩。

色差就是指用数值的方式表示两种颜色给人眼感觉上的差别。若两个彩色样品都按L*,a*,b*标定颜色,则两者之间的总色差△E*ab以及各单项色差可用下列公式计算:
总色差:ΔE*ab=[(ΔL*)2+(Δa*)2+(Δb*)2]1/2
明度差:ΔL*=L*1-L*2(明度差异)
色度差:Δa*=a*1-a*2(红/绿差异),△b*=b*1-b*2(黄/蓝差异)
计算色差时,可以把其中的任一个作为标准样,另一个是试样(假定1为试样,2为标准样),当计算结果出现正负值时,则有下面的物理含义:
△L*为正时表明测试样较标准样浅(偏浅),△L*为负时表明测试样较标准样深(偏深);
△a*为正时表明测试样较标准样红(偏红),△a为负时表明测试样较标准样绿(偏绿);
△b*为正时表明测试样较标准样黄(偏黄),△b为负时表明测试样较标准样蓝(偏蓝);
△E*ab色差公式以一个数值代表总色差,△E*ab值越大,表明色差越大,反之则越小。
CIELAB是一种均匀的颜色空间,在这种颜色空间里,在不同位置不同方向上相等的几何距离在视觉上有对应相等的色差,CIELAB色差公式以标准样为中心,如下图所示,把易测的空间距离作为色彩感觉度量的差别。

ΔE*ab色差公式以一个数值代表总色差。ΔE*ab值越小代表色差越小,反之越大。ΔE*ab是以标准样为中心,然后在旁绘出一个球体容差范围,如下图所示。

在CIELAB色空间中的任一方向上,一个单位的色差近似等于标准观察者所能感觉到的最小差,ΔE*ab是一个距离标度,所以它的大小是可以比较的。例如:一个印刷样张与打样样张比较时色差为4,另一印刷样张与打样样张的色差为2,可认为后者离完全匹配比前者近1倍。ΔE*ab是目前被广泛采用的种色差公式。
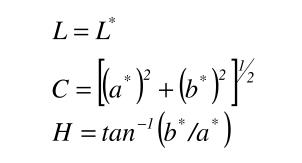
Lch颜色空间是Lab空间变形后得到的圆柱形颜色空间。该颜色空间由L、C、H表示。纵坐标L*值同样对应于颜色三要素的明度,取值0-100;C*代表彩度,即某一颜色的坐标位置与原点的距离,取值0-181,圆心处颜色的饱和度C*值为0,离圆心越远C*的值越大;H*为色调,取值0°-360°,h*代表色调角,是某一颜色坐标在色品平面内的投影点和坐标原点的连线与a轴的夹角。规定h*从正a轴(红)开始为0°,逆时针为正,正b轴(黄)为90°,负a轴(绿)为180°,负b轴(蓝)为270°。其有如下数学换算关系:

LCH色彩空间是从CIELAB色彩空间推导出来的,一种颜色可以用LAB表示,也可以用LCH表示。采用LCH对图像进行修正符合日常生活中对色彩进行描述的习惯,色彩修正更加便于理解、更加直观和易于控制。
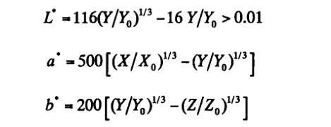
在Lab颜色空间中,柱坐标 L*表示亮度,a*和 b*轴代表色度坐标,分别是红-绿坐标和黄-蓝坐标,这三个坐标值均被认为是均匀变化的。这三个属性值可以由XYZ颜色空间的三个属性转化而来。转换公式如下:

其中,在上面的公式中,X、Y、Z 指的是物体的三刺激值,这三个属性值是在海明对立坐标理论的基础上建立起来的。Xn、Yn、Zn表示的是CIE 标准照明体先照射在完全反射漫反射体上,再经其反射到人们眼中的白颜色物体的三刺激值。光源和观察者的条件分别以D65和10°条件为佳。在不同的光源以及观察者条件下,三刺激值是不同的。若采用D65标准照明体X0=94.811,Y0=100.00,Z0=107.304。
电话:13376066805
邮件:sales0019@3nh.com