CIELab和CIELuv色差公式是颜色量化中比较常用的色差公式,前者一般用符号△E*ab表示,后者一般用符号△E*uv表示,是目前测色仪器中最为常见的色差公式。本文对CIELab和CIELuv色差公式形式做了简要的介绍,对色差计算公式感兴趣的朋友不妨了解一下!

CIELab颜色空间是一个以三维直角为坐标的色度空间,L*在坐标空间中代表的是明度。在a*b*平面上,当L*相等条件时,红色方向以+a*来表征,数据值越大表示颜色越红,绿色方向以-a*来进行表征,数据值越小表示颜色越绿,黄色方向以+b*进行表示,数据值越大表示颜色越黄,表示蓝色方向用-b*进行表示,数据值越小表示颜色越蓝。明度值L*、a*和b*三个坐标的计算公式如下所示:
L*=116f(Y/Yn)-16、a*=500[f(X/Xn)-f(Y/Yn)]、b*=100[f(Y/Yn)-f(Z/Zn)];其中:f(x)=x1/3(x>0.008856)或f(x)=7.787x+16/116(x≤0.008856)。式中,Xn、Yn、Zn代表的是标准照明体的光辐射到物体上产生完全反射现象时在观察者眼中生成的刺激值信号,且Yn=100,X、Y和Z表示颜色的三刺激值。
在CIELab色度空间中,颜色表征值还可以采用彩度值C*ab进行计算,C*ab=[(a*)2+(b*)2]1/2。
可以用色调角来表示颜色信息:Hab=arctan(b*/a*)。
在CIELAB颜色空间中,两个颜色(L*1,a*1,b*1)和(L*2,a*2,b*2)之间的色差△E*ab为:

色差也可以用明度差(△L*)、彩度差(△C*)和色调差(△H*)来定义,即:

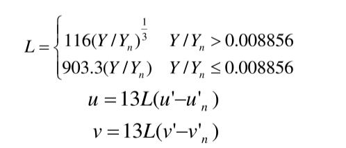
CIELUV颜色空间也是均匀颜色空间,在CIELUV空间中,L*为明度,u*、v*为色品指数。三者相互垂直构成色空间来描述相对应的亮度和色度量:垂直的轴是明度L*,位于水平面且互相垂直的是色品指数u*和 v*。CIELUV颜色空间与CIELAB颜色空间相似,L*,u*,v*是X,Y,Z通过非线性变换得到的,同样用两点间的距离表示颜色之间的色差。从CIEXYZ颜色空间到CIELuv颜色空间的转换,可以利用下列公式来完成:

其中:u'=4X/(X+15Y+3Z),v'=9X(X+15Y+3Z),(Xn、Yn、Zn)定义为参考白色的对应值,u'n和v'n定义为参考白色的转换值,它们的定义可以参照u'和v'的定义方式。
在CIELUV颜色空间中,两个颜色(L*1,u*1,v*1)和(L*2,u*2,v*2)之间的色差 △E*uv为:

电话:13376066805
邮件:sales0019@3nh.com