CIELab和CIELuv颜色空间都属于均与颜色空间,是由CIEXYZ颜色空间通过转换而得到的两个均匀颜色空间,与CIEXYZ颜色控之间存在一定的转换关系。本文对颜色空间CIELab和CIELuv与CIEXYZ转换关系做了简要的介绍。

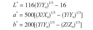
CIELab颜色空间可由CIEXYZ转换得到,它是把颜色用所含红、绿、黄、蓝的程度来度量的。视网膜锥体细胞有三种不同响应的视觉神经,分别对红绿、蓝黄、黑白起作用,颜色感觉是由各个视觉神经的破坏和会恢复而产生。每发生一次恢复和破坏,就发生一次脉冲信号给大脑,于是得到一种色感。根据这一色觉说,将红度(正向)和绿度(负向)同置于一根横轴(a轴)上,而将黄度(正向)和蓝度(负向)同置于纵轴(b*轴)上,垂直与a*b*平面的第三根轴为明度L*,这就是CIELab表色空间。其转换关系如下:

在上式中,Xn、Yn、Zn代表的是标准照明体的光辐射到物体上产生完全反射现象时在观察者眼中生成的刺激值信号,且Yn=100,X、Y和Z表示颜色的三刺激值。
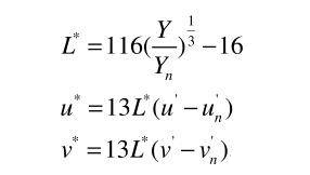
CIELuv颜色空间由L(亮度)、u*(绿-红方向的色度坐标)、v*(蓝-黄方向的色度坐标)构成。在CIELUV空间中,L*为明度,u*、v*为色品指数。三者相互垂直构成色空间来描述相对应的亮度和色度量:垂直的轴是明度L*,位于水平面且互相垂直的是色品指数u*和 v*。CIELuv颜色空间的L*、u*、v*是X、Y、Z通过非线性变换得到的,从CIEXYZ颜色空间到CIELuv颜色空间的转换,可以利用下列公式来完成:

其中:u'=4X/(X+15Y+3Z),v'=9X(X+15Y+3Z),(Xn、Yn、Zn)定义为参考白色的对应值,u'n和v'n定义为参考白色的转换值,它们的定义可以参照u'和v'的定义方式。
CIELab颜色空间基于CIEXYZ颜色空间推导而来,是通过一系列数学变换,得到L*、a*、b*值。L*代表亮度用于衡量颜色的明暗程度;a*表示从绿色到红色的颜色轴;b*表示从蓝色到黄色的颜色轴。CIELuv颜色空间同样是由CIEXYZ颜色空间推导而来,但采用了不同的数学变换方式得到L*、u*、v*值。L*同样表示亮度;u*反映颜色在绿色到红色方向上的位置;v*反映颜色在蓝色到黄色方向上的位置。
CIELab颜色空间的均匀性相对较好,即在该空间中,相同大小的颜色差值在视觉上引起的颜色感知差异大致相同。这使得在CILab颜色空间中计算的色差与人眼的主观感受更为接近。CIELuv虽然也是为实现颜色空间的均匀性而设计,但整体均匀性略逊于CIELab颜色空间。在某些区域,相同的颜色坐标变化可能会导致人眼感知到不同程度的颜色差异,这在精确的颜色匹配和色差评估中可能会带来一定的局限性。
此外,CIELab颜色空间计算过程相对较为直观和简洁,△E*ab的公式为△E*ab=[(△L*)2+(△a*)2+(△b*)2]1/2,其中△L*、△a*、△b*分别是两个颜色在L*、a*、b*坐标上的差值。而CIELuv颜色空间其计算过程相对复杂一些,△E*uv的公式为△E*uv=[(△L*)2+(△u*)2+(△v*)2]1/2,其中△L*、△u*、△v*分别是两个颜色在L*、u*、v*坐标上的差值。特别是u和v值的计算涉及到对光谱数据的处理和特定的转换公式,需要更多的计算步骤和数据处理,这在一定程度上增加了使用的难度。
电话:13376066805
邮件:sales0019@3nh.com