我们在使用色差仪进行颜色测量时,有时候会使用不同的颜色空间,但不同的颜色空间所表示的颜色信息存在差异,在进行颜色比较时,就需要进行颜色空间的转换。那么,色差仪不同颜色空间怎么相互转换颜色信息?本文对色差仪颜色空间的转换方法做了介绍。

色彩空间转换意味着将一个色彩空间中的颜色特征信息转换到另一色彩空间以获得相应的颜色信息,即用不同色彩空间中的数据来表示相同的颜色。
适合于RGB色彩空间的大多数图像可以在CIELAB色彩空间中实现,而适合于CIELAB色彩空间中的图像不一定能在RGB色彩空间中实现。对于任何单色调背景,RGB三色通道可以清楚地区分不同的颜色。
RGB色彩空间的颜色不能直接转换到 CIELAB色彩空间,需要借助XYZ色彩空间进行非线性操作,先把RGB色彩空间转换到XYZ色彩空间,然后通过XYZ色彩空间和CIELAB色彩空间之间的联系进行转换。
RGB与XYZ色彩空间转换关系如下:

上式中X=0.412453*R+0.357580*G+0.180423B;各系数相加之和为0.950456,非常接近于1,可以考虑修改各个系数,使其相加结果等于1,这样可以在相同范围内映射XYZ色彩空间和RGB色彩空间。
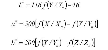
XYZ色彩空间与CIELAB色彩空间转换关系如下:

式中Xn,Yn,Zn表示三刺激值。
电话:13376066805
邮件:sales0019@3nh.com