光源有哪些颜色特性?光源有两个颜色特性,也是颜色特性是色温,表示光线的颜色;另一个是显色性,表示光源显现物体颜色的能力。那么,光源显色性颜色特性怎么评价?TL84标准光源的显色性好不好?本文对此做了简要的介绍。

光源颜色特性主要包括两个方面的内容:一是人眼直接看到的颜色,即光源色表;另一是指物体在光源的照明下所表现的客观颜色效果,即光源色品。前者的评价方法同物体颜色的评价方法类似,通过色坐标和相关色温来表述;后者的评价方法是研究光源对被照射物体的颜色影响,即光源的显色性。光源的显色性采用显色指数的值来评价,光源的显色性越好,则显色指数的值越高,其最大值为100。
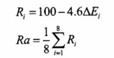
从光源的颜色特性的描述可以看出,一般照明光源的显色性是以显色指数为衡量指标,显色指数越高,则光源的显色性越好。然而光源的色温和显色性之间不存在必然的联系。其原因在于不同的光谱可能具有相同色温,但是显色性却可能相差较大。因此光源除了对色温的稳定性有较高的要求外,还要对光源的显色性进行评价,具体来说就是通过计算显色指数确定光源的显色性。显色指数Ra的计算公式为:

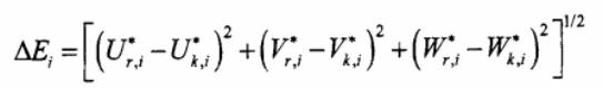
式中i=1~8;Ri为1-8号试验色求得的特殊显色指数,而Ra取8个特殊显色指数的平均值;△Ei为颜色的总色位移为:

U*r,i、V*r,i和W*r,i为参考照明体测试色在 CIE1964色度系统中的坐标值,而U*r,i、V*r,i和W*r,i为被测照明体测试色在CIE1964色度系统中的坐标值。
显色指数质量分类如下所示:
Ra:100~75,显色性优
Ra:75~50,显色性一般
Ra:50以下,显色性差
TL84光源的显色性处于中等水平,可以说有一定的优势,但也存在局限性,不能简单地说它显色性非常好。显色性通常用显色指数来衡量,取值范围为0到100,数值越高表示显色性越好。TL84光源的显色指数一般在80左右。从优点方面来看,显色指数80意味着它能够较好地还原大部分常见颜色。在TL84光源下,人们可以相对准确地辨别物体的颜色特征,对于一些对颜色准确性有一定要求的应用场景,以及一些对颜色要求不是极其苛刻的工业生产对色环节,TL84光源基本能够满足需求。
然而,与高显色指数的光源相比,TL84光源的显色性存在不足。在呈现一些鲜艳、细微的颜色差异时,可能无法像高显色指数光源那样精准。例如对于对颜色还原要求极高的场景,TL84光源可能就不太能满足需求,因为在这些场景中,准确呈现颜色的细微差别对于展示效果和产品质量至关重要。
电话:13376066805
邮件:sales0019@3nh.com