色差仪在CIELab颜色空间下进行颜色测量时,不仅可以给出L、a、b、c、h值,还可以给出色调角和色调角差值。那么,色差仪测量的色调角和色调差怎么理解?本文对色差仪色调角和色调角差做了介绍。

根据CIELAB计算公式得到L*、a*、b*值,一组L*、a*、b*数据对应CIELAB色空间中的一个点,为了表述任意2种颜色在色空间的相对位置,引入了饱和度C*ab、色调角hab和色调差△H*ab。
CIEL*a*b*(CIELAB)色空间方程如下式所示。

经过换算后得到下式:

式中,X、Y、Z——物体的三刺激值,无单位;Xn、Yn、Zn——参比白色的三刺激值,无单位;L*——明度,无单位;a*、b*——色度坐标,无单位;C*ab——饱和度,无单位;hab——色调角,(°);△E*ab——色差值,无单位;△H*ab——色调差,无单位;C*S——标准样的饱和度,无单位;C*B——批次样的饱和度,无单位。
因此,色调角的写法是hab取值范围为0°~360°;色调差的写法是△H*ab,单独的H*是不存在的。色调差△H*ab;可以通过标准样的饱和度C*S、批次样的饱和度C*B以及色调角差△hab快速计算出来。
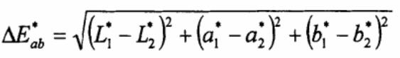
均匀颜色空间能够反映主观视觉感受,因此坐标系中任意两点的距离表示人眼感受到的色差,即:

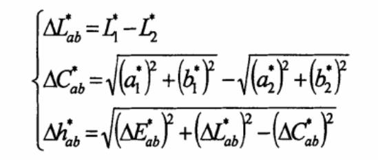
其中,L1*、a1*、b1*和L2*、a2*、b2*分别表示坐标系中任意两点的坐标参数。另外该色差公式也定义了与主观视觉感受直接对应的亮度差△L*ab饱和度差△C*ab和色调差△h*ab。

其中:△L*ab>0,表示样品色比标准色浅,明度高;若△L*ab<0,说明样品色比标准色深,明度低。△C*ab>0,表示样品色比标准色彩度高,含“白光”或“灰分”较少;若△C*ab<0,说明样品色比标准色彩度低,含“白光”或“灰分”较多。△h*ab>0,表示样品色位于标准色的逆时针方向上;△h*ab<0,说明样品色位于标准色的顺时针方向上。根据标准色所处的位置,就可以判断样品色是偏绿还是偏黄。
电话:13376066805
邮件:sales0019@3nh.com