在色彩管理中,对颜色进行量化是色彩管理的重要手段。而色彩的量化,需要遵循相应的颜色标准,即在特定的颜色标准下,对颜色进行评定与计算。本文对色彩管理中颜色标准及颜色标准的计算方法做了介绍。

根据国际照明委员会(CIE)规定的颜色测量原理、数据和计算方法,用数值表达颜色的变化情况。因此建立了颜色空间的概念,最早使用的色空间Yxy由于其在颜色空间中的不均匀性,即相等的空间在视觉效果上不是等差的,不能正确反映颜色的视觉效果。所以 HunterL、a、b色空间一经推出,就迅速被各行各业所引用,后来在HunterL、a、b基础上,CIE 对部分系数进行了调整,有了自己的CIEL*、a*、b*标尺。在现今使用比较广泛的颜色空间就是HunterL、a、b和CIEL*、a*、b*,这两个色标尺在结构上类似,都是X、Y、Z值进行算术推导出,但是同一颜色在这两个颜色空间中的数值是不同的。这两个颜色空间相对于其他色空间来讲,被认为是均匀色空间,但是由于颜色标准与其他度量标准不同,不可能有一个绝对的标准,没有一个标尺在视觉上是绝对均匀的,例如HunterL、a、b在颜色空间的蓝色部分是收缩的,CIEL*、a*、b*在黄色部分是过度扩张的。
在颜色体系中,要计算L、a、b值首先要知道X、Y、Z,目前得到三刺激值的方法有两种:
一种是三刺激值色度计方法,该方法利用光源照射到被测样品上,光线被物体反射,然后被通过对一特殊的照明体模拟标准观察者函数(典型为C)的红,绿,蓝滤色片,在每一滤色片后有一光电探测头检测通过滤色片的光的数量,这些信号然后以X和Z方式显示出来。
还有一种是分光光度计法,该方法是用一光源照射被测样品,被物体反射的光通过光栅进行分光后通过二极管矩阵得到每一波长下的光量。然后光谱数据被送到处理器,处理器根据所选择的CIE照明体数据和2°或10°标准观察者函数将其转换成X、Y、Z值。
分光光度计相对于三刺激值来说,应用范围更广,颜色也更加精确。现在我们用的基本上都是分光光度计法。有了X、Y、Z,我们就可以通过以下方法计算L、a、b值。
HunterL、a、b计算方法如下:

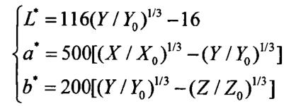
CIEL*、a*、b*计算方法:

通过以上公式计算出来的色差有以下特点:
1.色差总是以(试样-标样)的值来计算的;
2.如果△L*为正,试样比标样浅;如果△L*为负,试样比标样深;
3.如果△a*为正,试样比标样更红(或少缘);如果△a*为负,试样比标样更绿(或少红);
4.如果△b*为正,试样比标样更黄(或少蓝);如果△b*为负,试样比标样更蓝(或少黄);
5.由于色空间的非均匀性,通常是较浅的颜色有较大的L*允差,较小的a*和b*允差;
6.对彩度(饱和度)较大的颜色,有较大的a*和b*允差;
7.当HunterL、a、b或CIEL*、a*、b*矩形坐标被用作三维色差空间时,结果可接受的样品是紧缩在一个矩形框内。
电话:13376066805
邮件:sales0019@3nh.com