为了对颜色进行量化的描述与分析,CIE规定了多个用于颜色测量的表色系统即颜色空间,HSV颜色空间就是其中常见的一个表色系统,该表色系统用H、S、V三个维度来对颜色进行描述。本文对HSV颜色空间及HSV颜色空间色差公式做了介绍。

HSV颜色空间是基于人的眼睛对色彩的识别,是一种从视觉的角度定义的颜色模式。HSV颜色空间是用孟塞尔颜色空间的色调H,饱和度S,明度V为三要素来表示的,属于非线性彩色表示系统。HSV彩色表示方法同人对彩色的感知相一致,且在HSV空间中,人对色差的感知较均匀,因此HSV空间是适合人的视觉特性的颜色空间,其各个分量的独立性强。其模型图如下:

HSV颜色空间的模型对应于圆柱坐标系中的一个圆锥形子集,圆锥的顶面对应于V=1。它包含RGB模型中的R=1,G=1,B=1三个面,所代表的颜色较亮。色彩H由绕V轴的旋转角给定。红色对应于角度0°,绿色对应于角度120°,蓝色对应于角度240°。在HSV颜色模型中,每一种颜色和它的补色相差180°。饱和度S取值从0到1,所以圆锥顶面的半径为l。HSV颜色模型所代表的颜色域是CIE色度图的一个子集,这个模型中饱和度为百分之百的颜色,其纯度一般小于百分之百。在圆锥的顶点(即原点)处,V=0,H和$无定义,代表黑色。圆锥的顶面中心处S=0,V=1,H无定义,代表白色。从该点到原点代表亮度渐暗的灰色,即具有不同灰度的灰色。对于这些点,S=0,H的值无定义。
可以说,HSV模型中的V轴对应于 RGB颜色空间中的主对角线。在圆锥顶面的圆周上的颜色,V=1,S=1,这种颜色是纯色。HSV 模型对应于画家配色的方法。画家用改变色浓和色深的方法从某种纯色获得不同色调的颜色,在一种纯色中加入白色以改变色浓,加入黑色以改变色深,同时加入不同比例的白色,黑色即可获得各种不同的色调。
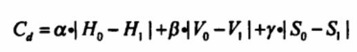
HSV颜色空间中的颜色信息主要包含于H分离(色度分量)、S分量(饱和度分量)、V分量(亮度分量)中。主要的色差信息大多集中于H分量和V分量,同时也有小部分的S分量影响着物体整体的颜色信息。因此,一般采用三者差异的加权和的方式来表现待测物体的颜色与标准颜色的色差,即:

其中,α+β+γ=1。一般情况下,颜色的大部分信息位于H分量,其次是S分量和V分量。因此试验可取α=0.6,β=0.3,y=0.γ。
电话:13376066805
邮件:sales0019@3nh.com