CIEL*u*v*和CIEL*a*b*是颜色测量中比较常用的两个颜色空间,这两个颜色空间都是用三个维度来对颜色进行描述,且都是由CIEXYZ颜色空间通过非线性变换得到。本文对CIEL*u*v*、CIEL*a*b*、CIEXYZ颜色空间转换做了介绍。

1.CIEL*u*v*颜色空间
CIELuv颜色空间是由L(亮度)、u*(绿-红方向的色度坐标)、v*(蓝-黄方向的色度坐标)构成。L表示颜色的明亮程度,含义与CIELab和CIELCh中的L一致,反映了颜色的明暗程度,取值范围从0(绝对黑色)到100(绝对白色)。u表示绿-红方向的色度,是描述颜色在红绿蓝维度上位置的一个参数。u值的正负和大小反映了颜色在该维度上的偏向和程度。u为正值时,表示颜色在该维度上偏向红色或黄色方向的程度;u*为负值时,表示颜色偏向绿色或蓝色方向的程度。v*表示蓝-黄方向的色度,v值的变化反映了颜色在另一个维度上的偏向和程度,与u相互配合来完整地表达颜色的色度特性。v值为正时,颜色偏向黄色或蓝色方向;v*值为负时,颜色偏向红色或绿色方向。在CIELuv色彩空间中,可以通过计算色彩空间中两点颜色之间的几何距离,来分析判断颜色的差异度,比较方便地测量较小的色差。
2.CIEL*a*b*颜色空间
CIELab颜色空间是基于生理特征的均匀颜色空间,是由明度(L)和两个色度分量a、b共三个分量构成,L表示颜色的明度,也常被称作亮度,取值范围在[0,100],表示从纯黑到纯白。a表示从绿色到红色,-a最小表示绿色,+a最大表示红色,取值范围在[-128,127],-a到+a是绿色到红色颜色渐变的过程。b表示从蓝色到黄色的范围,同样原理,-b到+b是由蓝色逐渐过渡到黄色的过程,取值范围在[-128,127]。在明度相同的ab平面上,a大于0时为红色方向,值越大时越红,a小于0时为绿色方向,值越小时越绿,在a的方向上,从左到右是从深绿到灰色,再到红色(亮粉色)的过程;同理当b大于0时为黄色方向,值越大时越黄,b小于0时为蓝色方向,值越小则越蓝,在b的方向上,三维中从前到后颜色变化时从亮蓝到灰色,再到黄色的过程;L表示的是颜色的亮度,L越大则越亮,反之,越小则越暗。从CIELab模式的概念中可以知道,三维坐标的中间过渡部分均为灰色,而这个灰色是在各色亮度较低的情况下的过渡色
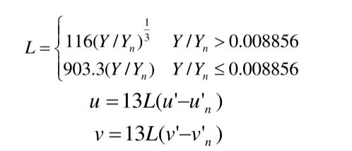
1.CIEL*u*v*和CIEXYZ转换
在CIELUV颜色空间中,L*,u*,v*是X,Y,Z通过非线性变换得到的,同样用两点间的距离表示颜色之间的色差。从CIEXYZ颜色空间到CIELuv颜色空间的转换,可以利用下列公式来完成:

其中:u'=4X/(X+15Y+3Z),v'=9X(X+15Y+3Z),(Xn、Yn、Zn)定义为参考白色的对应值,u'n和v'n定义为参考白色的转换值,它们的定义可以参照u'和v'的定义方式。
2.CIEXYZ和CIEXYZ转换
L*a*b*均匀颜色空间是CIE1931XYZ标准色度学系统的非线性变换,它将XYZ直角坐标颜色空间转换为柱面极坐标,将三刺激值XYZ转换成与眼睛视觉相一致的明度L*和与色调、饱和度的感觉相一致的a*、b*。由CIEXYZ空间向L*a*b*颜色空间转换的公式为:

其中,在上面的公式中,X、Y、Z指的是物体的三刺激值,这三个属性值是在海明对立坐标理论的基础上建立起来的。Xn、Yn、Zn表示的是CIE标准照明体先照射在完全反射漫反射体上,再经其反射到人们眼中的白颜色物体的三刺激值。光源和观察者的条件分别以D65和10°条件为佳。在不同的光源以及观察者条件下,三刺激值是不同的。若采用D65标准照明体Xn=94.811,Yn=100.00,Zn=107.304。
电话:13376066805
邮件:sales0019@3nh.com