RGB颜色空间以红(R)、绿(G)和蓝(B)三种基本颜色为基础,三种颜色进行不同程度的叠加,能够产生丰富的颜色,因此RGB颜色空间又被称为三基色模型。RGB颜色空间并不适合用作色差检测,一般需要通过线性或非线性变换将RGB颜色模型转换到其它颜色空间中。本文对RGB颜色空间及RGB颜色空间色差公式类型做了介绍。

RGB颜色空间以红(R)、绿(G)和蓝(B)三种基本颜色为基础,三种颜色进行不同程度的叠加,能够产生丰富的颜色,因此 RGB颜色空间又被称为三基色模型。在该模型中,R、G、B分别位于3个角上,黑色位于原点处,白色位于离远点最远的对角点处,灰度级沿着这两点的连线分布。在该模型中,不同的颜色处在立方体上或者在其内部,并且可以用从原点分布的向量来定义。即每一种颜色可以用红、绿、蓝三个颜色分量的坐标来表示,如(0,0,0)表示黑色,(160,32,24)表示紫色,(0,255,0)表示绿色,(255,255,255)表示白色等。若将颜色值进行归一化,原立方体就变成一个单位立方体,所有的R、G、B值都取值范围在[0,1]内。
RGB颜色空间采用物理三原色对颜色进行表示,这种方式比较简单,但给定任意一个R、G、B值,无法准确知道所表述的颜色,并不符合人的视觉特点。而且RGB颜色空间不是一个均匀的颜色空间,即空间坐标上等距离的两点并不能表示出颜色的差异性,因此,RGB颜色空间并不适合用作色差检测。并且因为人眼对R、G、B的敏感程度不一样,所以RGB颜色模型的均匀性非常差。两个颜色之间的知觉差异色差不能用RGB颜色模型中两颜色点间的距离来表示,一般需要通过线性或非线性变换将RGB颜色模型转换到其它颜色空间中。
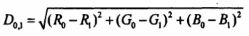
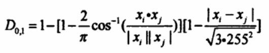
由于RGB颜色空间的颜色信息包含于R、G、B这三个分量,因此表示待测目标的颜色(R1,G1,B1)与标准颜色(R0,G0,B0)的差异就需要结合三个分量进行距离计算,两者间色差的度量公式主要有三类:
1.RGB色差公式

该式表示的色差值是通过两个颜色的空间距离米体现的。因此若要使结果正确,则必然要求 RGB颜色空间是一个均匀的颜色空间,即每个颜色的等色差颜色应成一个球面,且不同位置的等色差颜色对应该表现出相同的差异。显然RGB颜色空间不具备这些条件,直接以空间距离表示的色差不符合人的视觉感受。
2.RGB加权色差公式

Wr,Wg,Wb是加权系数。由于RGB颜色空间的不均匀,相关人员试图通过加权的方式来解决这个问题。权值的定义是根据人眼对红、绿、蓝三原色敏感程度的不同。通过调整RGB颜色空间,部分补偿其非均匀性。在以往文献中,关注的重点大多集中于所处理的某类简单图像,以至于加权系数各种各样。并且由于RGB三个分量的不独立性,三个坐标轴上的色差规律并不能简单地推广到整个颜色空间。另外算法的改进程度也是有限的,各种实验结果也证明了并非各种加权算法总是优于非加权算法。
3.RGB角距离色差公式

其中,xi=(ri,gi,bi),xj=(rj,gj,bj)。该公式由 D.Androutsos等人提出,增加了对待比较颜色间的角度差的考虑。该公式对RGB色差度量有一定的改善能力,但效果也不够明显。
电话:13376066805
邮件:sales0019@3nh.com