CIELab颜色空间是颜色测量与色差计算中比较常用的一个颜色空间,这个颜色空间属于均匀颜色空间,可以从三个维度对颜色进行描述,并可以给出颜色空间的色差值。那么,CIELab颜色空间的色度值及色差值怎么计算?下文为大家做了介绍。

CIELab色差公式是基于CIELab颜色空间,CIELab颜色空间是一个近乎均匀的三维色空间,这也就意味着即便两对样品所测出的色差值相等,但从视觉效果看并不一定一致。该颜色空间中a轴和b轴组成颜色的彩度,L轴表示颜色的明度。也可以用其极坐标CIELch颜色空间表示,C*表示饱和度,h*表示色相角。因此其色度值计算分为两种情况:
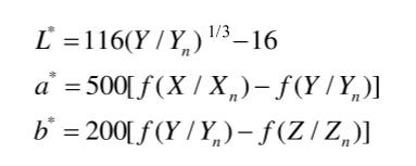
1.直角坐标色度值计算

式中,X、Y和Z是色样的三刺激值,而Xn、Yn和Zn是照明光源的三刺激值。
2.柱坐标色度值计算

其中C*定义为米制彩度,h定义为米制色调角(0度~360度)。
1.直角坐标色差值计算
色差就是指用数值的方式表示两种颜色给人色彩感觉上的差别。若两个彩色样品都按L*,a*,b*标定颜色,则两者之间的总色差△E*ab以及各单项色差可用下列公式计算:
总色差:△E*ab=[(△L*)2+(△a*)2+(△b*)2]1/2
明度差:△L*=L*1-L*2(明度差异)
色度差:△a*=a*1-a*2(红/绿差异),△b*=b*1-b*2(黄/蓝差异)
计算色差时,可以把其中的任何一个作为标准样,则另一个就是试样,当计算结果出现正负值时,则有下面的物理含义:
△L*为正表示样品色比标准色浅,明度高;△L*为负说明样品色比标准色深,明度低。
△a*为正表示祥品色比标准色偏红;△a*为负说明样品色比标准色偏绿。
△b*为正表示样品色比标准色偏黄;△b*为负说明样品色比标准色偏蓝。
2.柱坐标色差值计算
也可以使用极坐标颜色空间来计算色差,柱坐标形式的色差为:△E*ab=[(△L*)2+(△C*)2+(△H*)2]1/2。
明度差:△L*=L1*-L*2,当△L是正数时,表示试样比标样偏红,反之表示比标样偏绿;
色调差:△C*=C*1-C*2,当△C是负数时,表示试样比标准样颜色鲜艳;当△C是负数时,表示标准样比试样样颜色暗;
色调角差:△H*=H*1-H*2,表示试样和标准样色相角度的差异,△H值的正负表示的色相偏移情况。
CIELAB是一种均匀的颜色空间,这种颜色空间,在不同位置,不同方向上相等的几何距离在视觉上有对应相等的色差。△E*ab色差公式以一个数值代表总色差。△E*ab值越少代表色差越小,相反△E*ab值越大代表色差越大。在CIELAB色空间中的任一方向上,一个单位的色差近似等于标准观察者所能感觉的最小差,△E*ab是一个距离标度,所以它的大小是可以比较的。
电话:13376066805
邮件:sales0019@3nh.com